Biasiswa Yayasan Tunku Abdul Rahman





Biasiswa Yayasan Tunku Abdul Rahman 2018 Universiti Malaysia Sabah Facebook

Biasiswa Yayasan Tunku Abdul Rahman 2018 Universiti Malaysia Sabah Facebook

Biasiswa Tunku Abdul Rahman Btar Yayasan Tunku Abdul Rahman

Biasiswa Tunku Abdul Rahman Btar Yayasan Tunku Abdul Rahman

Biasiswa Yayasan Tunku Abdul Rahman Btar 2018

Biasiswa Yayasan Tunku Abdul Rahman Btar 2018

Biasiswa Tunku Abdul Rahman Is Looking Yayasan Tunku Abdul Rahman Facebook

Biasiswa Tunku Abdul Rahman Is Looking Yayasan Tunku Abdul Rahman Facebook

Biasiswa Tunku Abdul Rahman Lepasan Spm Stpm Matrikulasi Asasi Dan Diploma Pendidikanmalaysia Com

Biasiswa Tunku Abdul Rahman Lepasan Spm Stpm Matrikulasi Asasi Dan Diploma Pendidikanmalaysia Com

Biasiswa Tunku Abdul Rahman Btar Scholarship

Biasiswa Tunku Abdul Rahman Btar Scholarship

Biasiswa Tunku Abdul Rahman Btar Scholarship

5 jalan bangsar utama 1 59000 bangsar kuala lumpur tel.

Biasiswa yayasan tunku abdul rahman. Yayasan tunku abdul rahman a 10 10 menara uoa bangsar no. 082 441686 faks. 603 22836063 6073 fax. In the spirit of tunku we focus on honing the potential of the future leaders of malaysia regardless of colour or creed.

Yayasan tunku abdul rahman. Klik disini untuk ke laman permohonan. What are you waiting for. Badan bukan kerajaan non government organization ngo.

5 jalan bangsar utama 1 59000 bangsar kuala lumpur. 5 jalan bangsar utama 1 59000 bangsar kuala lumpur tel. Yayasan tunku abdul rahman a 10 10 menara uoa bangsar no. 603 22836063 6073 fax.

Yayasan tunku abdul rahman memupuk pemimpin untuk negaraku. 5 jalan bangsar utama 1 59000 bangsar kuala lumpur. Biasiswa tunku abdul rahman bachelor s degree the scholarship is open to all malaysians focusing especially on high potential students with a strong financial need to cover the expenses of the university s tuition fees and living expenses during the course of the study. Yayasan biasiswa sarawak tunku abdul rahman ybstar tujuan.

Yayasan tunku abdul rahman a 10 10 menara uoa bangsar no. Yayasan tunku abdul rahman a 10 10 menara uoa bangsar no. Ambilan pelajar terbuka kepada semua ipta dan ipts yang terpilih sahaja di malaysia untuk peringkat sarjana muda sehingga phd. Anda juga boleh menghubungi mereka jika perlukan maklumat lanjut mengenai biasiswa yayasan sarawak tunku abdul rahman ybstar.

5 jalan bangsar utama 1 59000 bangsar kuala lumpur. For more information please contact. Biasiswa tunku abdul rahman 2020. Hubungi sebarang pertanyaan sila hubungi seksyen biasiswa talian pejabat.

Menyediakan biasiswa kepada pelajar yang mengikuti kursus bukan bidang stem sains teknologi kejuruteraan dan matematik sahaja. Untuk memohon sila klik pada butang berwarna hijau. Untuk maklumat lanjut sila hubungi. Seksyen biasiswa yayasan sarawak wisma adenan jalan sultan tengah petra jaya 93050 kuching.

546 likes 48 talking about this. Cara memohon biasiswa yayasan tunku abdul rahman ytar ketahui cara bagaimana anda boleh memohon biasiswa ini sekarang. Learn more about ytar scholarships. 603 22836063 6073 fax.

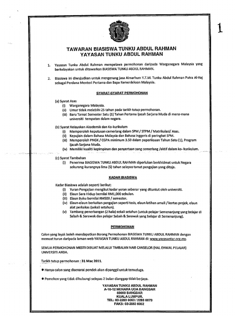
Tawaran Biasiswa Tunku Abdul Rahman

Tawaran Biasiswa Tunku Abdul Rahman

Tawaran Biasiswa Tunku Abdul Rahman 2018 Bahagian Hal Ehwal Pelajar Universiti Malaya Facebook

Tawaran Biasiswa Tunku Abdul Rahman 2018 Bahagian Hal Ehwal Pelajar Universiti Malaya Facebook

Yayasan Tunku Abdul Rahman

Yayasan Tunku Abdul Rahman

Aeman Abdullah Life After School Of An Ordinary Mrsm Transkrian 2006 2010 Student All I Do Is Win

Aeman Abdullah Life After School Of An Ordinary Mrsm Transkrian 2006 2010 Student All I Do Is Win

Iraimalar Biasiswa Yayasan Tunku Abdul Rahman 2020 Facebook

Iraimalar Biasiswa Yayasan Tunku Abdul Rahman 2020 Facebook

Penawaran Biasiswa Yayasan Tunku Abdul Rahman 2020

Penawaran Biasiswa Yayasan Tunku Abdul Rahman 2020

Permohonan Biasiswa Tunku Abdul Rahman Btar 2020 Online Biasiswa 2020 2021

Permohonan Biasiswa Tunku Abdul Rahman Btar 2020 Online Biasiswa 2020 2021

Penawaran Biasiswa Yayasan Tunku Abdul Rahman 2020

Penawaran Biasiswa Yayasan Tunku Abdul Rahman 2020

Tunku Abdul Rahman Btar Scholarship 2020 Malaysia Scholarships 2020 2021

Tunku Abdul Rahman Btar Scholarship 2020 Malaysia Scholarships 2020 2021

Permohonan Biasiswa Tunku Abdul Rahman Btar 2020 Online My Panduan

Permohonan Biasiswa Tunku Abdul Rahman Btar 2020 Online My Panduan

Tawaran Biasiswa Dan Pinjaman Pelajaran Bahagian Hal Ehwal Pelajar Upm Facebook

Tawaran Biasiswa Dan Pinjaman Pelajaran Bahagian Hal Ehwal Pelajar Upm Facebook

Biasiswa Tunku Abdul Rahman Lepasan Spm Stpm Matrikulasi Asasi Dan Diploma Pendidikanmalaysia Com

Biasiswa Tunku Abdul Rahman Lepasan Spm Stpm Matrikulasi Asasi Dan Diploma Pendidikanmalaysia Com

Biasiswa Tunku Abdul Rahman 2016

Biasiswa Tunku Abdul Rahman 2016

Makluman Tawaran Biasiswa Tunku Abdul Pejabat Hal Ehwal Pelajar Uthm Facebook

Makluman Tawaran Biasiswa Tunku Abdul Pejabat Hal Ehwal Pelajar Uthm Facebook

Source : pinterest.com